Organic Phosphate Salts
Tetra sodium salt of Amino Trimethylene Phosphonic Acid (ATMP•Na4)
CAS No. 20592-85-2
| 
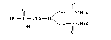
 CAS No.  20592-85-2  Molecular Formula:   C3H8NO9P3Na4                      Molecular weight: 387  Structural Formula:   
  | ||||||||||||||
| 
 Properties: 
 Usage:  | 
Update: 2015/2/28 8:24:09 Views:2972
Related products
- Potassium salt of 1-Hydroxy Ethylidene-1,1-Diphosphonic Acid (HEDP?Kx)
 - Tetra sodium salt of Amino Trimethylene Phosphonic Acid (ATMP•Na4)
 - Penta sodium salt of Amino Trimethylene Phosphonic Acid (ATMP•Na5)
 - Potassium Salt of Hexa Methylene Diamine Tetra (MethylenePhosphonic Acid)
 - Hepta sodium salt of Diethylene Triamine Penta (Methylene Phosphonic Acid)
 - Diethylene Triamine Penta(Methylene Phosphonic Acid) Pentasodium salt(DTPMP•Na5)
 

