Organic Phosphate Salts
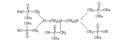
Hepta sodium salt of Diethylene Triamine Penta (Methylene Phosphonic Acid)
CAS No. 22042-96-2 (x-Na) 68155-78-2 (7-Na)
DTPMP•Na7
CAS No.  22042-96-2 (x-Na) 68155-78-2 (7-Na) 
Molecular Formula: C9H23O15N3P5Na7                Molecular weight: 727 
Structural Formula
 
Properties:
DTPMP•Na7 is a scale inhibitor, for barium sulphate in particular and a chelating agent.DTPMP•Na7 can be used as stabilizer for peroxide bleaching, detergent auxiliaries, in industrial & municipal cleaning water, terrestrial heat water, oilfield water, etc. 
Specification:
| 
 items  | 
 index  | |
| 
  Appearance  | 
 Umber transparent liquid  | |
| 
  Active content (DTPMPA)% >                 | 
 31.5-33.5  | 
 24.0-26.0  | 
| 
 Active content (DTPMPANa7)%  | 
 40.0-42.5  | 
 30.5-33.0  | 
| 
 Total phosphoric acid(PO43-)%         | 
 25.9-27.9  | 
 19.7-21.7  | 
| 
 Chloride ( as Cl-) %  | 
 5.0                         5.0  | |
| 
 Fe,mg/L  | 
 20                          20  | |
| 
 PH(1% water solution)        | 
 7.0-9.0                    7.0-9.0  | |
| 
 Density (20℃) g/cm3               | 
 1.34-1.44  | 
 1.24-1.34  | 
Package and Storage:
200L plastic drum,IBC(1000L),customers’ requirement. Storage for ten months in shady room and dry place.
Safety Protection:
Avoid contact with eye and skin, once contacted, flush with water.
Update: 2015/2/2 10:27:46 Views:2894
Related products
- Potassium salt of 1-Hydroxy Ethylidene-1,1-Diphosphonic Acid (HEDP?Kx)
 - Tetra sodium salt of Amino Trimethylene Phosphonic Acid (ATMP•Na4)
 - Penta sodium salt of Amino Trimethylene Phosphonic Acid (ATMP•Na5)
 - Potassium Salt of Hexa Methylene Diamine Tetra (MethylenePhosphonic Acid)
 - Hepta sodium salt of Diethylene Triamine Penta (Methylene Phosphonic Acid)
 - Diethylene Triamine Penta(Methylene Phosphonic Acid) Pentasodium salt(DTPMP•Na5)
 
